In Vitro and In Silico Evaluation of Pancreatic Lipase Inhibition by Avicennia marina and Bruguiera gymnorrhiza Fruit Flour Extracts
Abstract
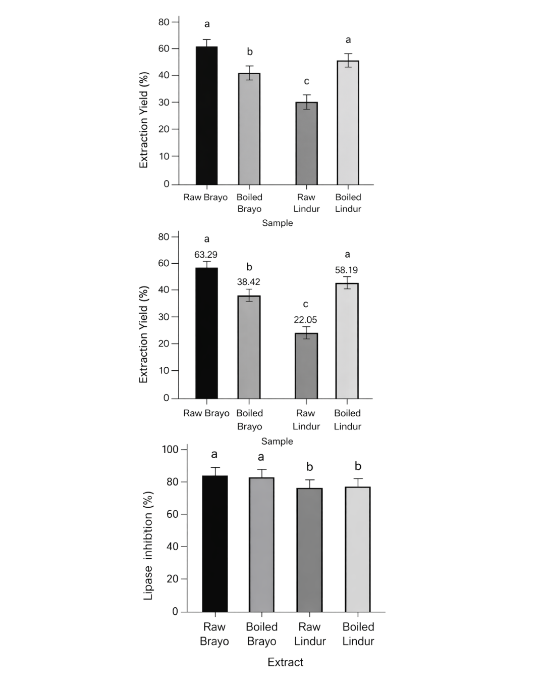
Indonesia is rich in mangrove species, including Avicennia marina (brayo) and Bruguiera gymnorrhiza (lindur), whose fruits contain bioactive metabolites with potential anti-obesity activity. This study evaluated pancreatic lipase inhibition by brayo and lindur fruit flour extracts (raw and boiled) using in vitro and in silico approaches. Extracts were prepared by remaceration with 70% ethanol. Lipase inhibition was measured using a multimode microplate reader, while metabolites were identified by LC-HRMS and evaluated by molecular docking. Raw brayo showed the highest inhibition (84.29 ± 4.24%), followed by boiled brayo (83.01 ± 4.59%), raw lindur (75.24 ± 3.02%), and boiled lindur (73.88 ± 4.00%). Docking indicated strong binding of luteolin (−8.23 kcal/mol), 9-oxo-10(E),12(E)-octadecadienoic acid (−6.75 kcal/mol), and methyl eleostearate (−6.59 kcal/mol) to pancreatic lipase. These findings support mangrove fruit flour as a natural source of lipase inhibitors for obesity management.
Full text article
References
Abdullah, S. S., Putra, P. P., Antasionasti, I., Rundengan, G., Suoth, E. J., Abdullah, R. P. I., & Abdullah, F. (2021). Analisis sifat fisikokimia, farmakokinetik dan toksikologi pada pericarpium pala (Myristica fragransa) secara artificial intelligence. Chemistry Progress, 14(2), 81–92. https://doi.org/10.35799/cp.14.2.2021.37112
Amin, S., & Makia, F. F. (2025). Pendekatan in silico dalam penemuan senyawa bioaktif tanaman sebagai kandidat obat antidiabetes. OBAT: Jurnal Riset Ilmu Farmasi dan Kesehatan, 3(6), 146–162. https://doi.org/10.61132/obat.v3i6.1887
Azmir, J., Zaidul, I. S. M., Rahman, M. M., Sharif, K. M., Mohamed, A., Sahena, F., Jahurul, M. H. A., Ghafoor, K., Norulaini, N. A. N., & Omar, A. K. M. (2013). Techniques for extraction of bioactive compounds from plant materials: A review. Journal of Food Engineering, 117(4), 426–436.
Bandaranayake, W. M. (2002). Bioactivities, bioactive compounds and chemical constituents of mangrove plants. Wetlands Ecology and Management, 10, 421–452. https://doi.org/10.1023/A:1021397624349
Birari, R. B., & Bhutani, K. K. (2007). Pancreatic lipase inhibitors from natural sources: Unexplored potential. Drug Discovery Today, 12(19–20), 879–889. https://doi.org/10.1016/j.drudis.2007.07.024
Buchholz, T., & Melzig, M. F. (2015). Polyphenolic compounds as pancreatic lipase inhibitors. Planta Medica, 81(10), 771–783. https://doi.org/10.1055/s-0035-1546173
Chen, C., Mokhtar, R. A. M., Sani, M. S. A., & Noor, N. Q. I. M. (2022). The effect of maturity and extraction solvents on bioactive compounds and antioxidant activity of mulberry (Morus alba) fruits and leaves. Molecules, 27(8), 2406. https://doi.org/10.3390/molecules27082406
Dai, J., & Mumper, R. J. (2010). Plant phenolics: Extraction, analysis and their antioxidant and anticancer properties. Molecules, 15, 7313–7352. https://doi.org/10.3390/molecules15107313
D’Urso, G., Capuano, A., Fantasma, F., Chini, M. G., De Felice, V., Saviano, G., Lauro, G., Casapullo, A., Bifulco, G., & Iorizzi, M. (2025). The role of LC–MS in profiling bioactive compounds from plant waste for cosmetic applications: A general overview. Plants, 14(15), 2284. https://doi.org/10.3390/plants14152284
Fernandes, A., & Noor’an, R. F. (2019). Uji fitokimia dan GC-MS buah api-api (Avicennia marina). Jurnal Insan Farmasi Indonesia, 2(2), 261–270. https://doi.org/10.36387/jifi.v2i2.321
Ferreira, L. G., Dos Santos, R. N., Oliva, G., & Andricopulo, A. D. (2015). Molecular docking and structure-based drug design strategies. Molecules, 20, 13384–13421. https://doi.org/10.3390/molecules200713384
Ghazali, H. M. (2013). Anti- and pro-lipase activity of selected medicinal, herbal and aquatic plants, and structure elucidation of an anti-lipase compound. Molecules, 18, 14651–14669. https://doi.org/10.3390/molecules181214651
Harahap, A.M., Agustini, K., Nuralih, N., Ningsih, S., Widyastuti, Y., Bahtiar, A. (2025). LC-HRMS profiling and in vitro total phenolics, total flavonoids, antioxidant and cytotoxicity evaluation on MCF7 breast cancer cell lines of the extracts and fractions of Aerva sanguinolenta from Java, Indonesia. J Appl Pharm Sci, 15(06):265–276. http://doi.org/10.7324/JAPS.2025.227288
Harborne, J. B. (1998). Phytochemical methods: A guide to modern techniques of plant analysis (3rd ed.). Chapman & Hall.
Henness, S., & Perry, C. M. (2006). Orlistat: A review of its use in the management of obesity. Drugs, 66(12), 1625–1656. https://doi.org/10.2165/00003495-200666120-00012
Ijoma, I.K., Okafor, C.E., Ajiwe, V.I.E. (2024). Computational Studies of 5- methoxypsolaren as Potential Deoxyhemoglobin S Polymerization Inhibitor. Trop J Nat Prod Res. 8(10): 8835 – 8841 https://doi.org/10.26538/tjnpr/v8i10.28
Josaphat, F., & Fadlan, A. (2023). Molecular docking of acetylacetone-based oxindole against indoleamine 2,3-dioxygenase: Study of energy minimization. Walisongo Journal of Chemistry, 6(2), 149–157. https://doi.org/10.21580/wjc.v6i2.17638
Kathiresan, K., & Bingham, B. L. (2001). Biology of mangroves and mangrove ecosystems. Advances in Marine Biology, 40, 81–251. https://doi.org/10.1016/S0065-2881(01)40003-4
Liu, T.T., Liu, X.T., Chen, Q.X., Shi, Y. (2020). Lipase Inhibitors for Obesity: A Review. Biomed Pharmacother, 128:110314. doi: 10.1016/j.biopha.2020.110314.
Maharani, I., Putri, A.D., Suharsanti, R., Kusmita, L. (2025). Anti-obesity Activity of Chlorophyll a from Spirulina (Arthrospira platensis) Through the Inhibition of Pancreatic Lipase Enzyme. Tropical Journal of Natural Product Research, 9(5):2183. https://doi.org/10.26538/tjnpr/v9i5.44
Martínez-González, A. I., Díaz-Sánchez, Á. G., Rosa, L. A., Vargas-Requena, C. L., Bustos-Jaimes, I., & Alvarez-Parrilla, A. E. (2017). Polyphenolic compounds and digestive enzymes: In vitro non-covalent interactions. Molecules, 22(4), 669. https://doi.org/10.3390/molecules22040669
McDougall, G. J., Kulkarni, N. N., & Stewart, D. (2008). Current developments on the inhibitory effects of berry polyphenols on digestive enzymes. BioFactors, 34(1), 73–80. https://doi.org/10.1002/biof.5520340108
Muttaqin, F. Z., Ismail, H., & Muhammad, H. N. (2019). Studi molecular docking, molecular dynamic, dan prediksi toksisitas senyawa turunan alkaloid naftiridin sebagai inhibitor protein kasein kinase 2-α pada kanker leukemia. Pharmacoscript, 2(1), 49-64.
Nakai, M., Fukui, Y., Asami, S., Toyoda-Ono, Y., Iwashita, T., Shibata, H., Mitsunaga, T., Hashimoto, F., & Kiso, Y. (2005). Inhibitory effects of oolong tea polyphenols on pancreatic lipase in vitro. Journal of Agricultural and Food Chemistry, 53(11), 4593–4598. https://doi.org/10.1021/jf047814+
Padwal, R. S., & Majumdar, S. R. (2007). Drug treatments for obesity: Orlistat, sibutramine, and rimonabant. The Lancet, 369(9555), 71–77. https://doi.org/10.1016/S0140-6736(07)60033-6.
Pandey, S.K., Yadav, S., Goel, Y., Temre, M.K., Singh, V.K., and Singh, S.M. (2019). Molecular Docking of Anti-Inflammatory Drug Diclofenac with Metabolic Targets: Potential Applications in Cancer Therapeutics. Journal of Theoretical Biology. 465: 117–125. doi: 10.1016/j.jtbi.2019.01.020.
Pires, D. E. V., Blundell, T. L., & Ascher, D. B. (2015). pkCSM: Predicting small-molecule pharmacokinetic and toxicity properties using graph-based signatures. Journal of Medicinal Chemistry, 58(9), 4066–4072. https://doi.org/10.1021/acs.jmedchem.5b00104
Prastiyanto, M. E., & Wardoyo, F. A. (2025). Antibacterial efficacy of fruit extracts from three mangrove species against multidrug-resistant isolates derived from clinical specimens. Journal of Herbmed Pharmacology, 14(1), 104–111. https://doi.org/10.34172/jhp.2025.52806
Rahardhian, M.R.R., Susilawati, Y., Musfiroh, I., Febriyanti, R.M., Muchtaridi, Sumiwi, S.A. (2022). Kajian in silico senyawa bioaktif tanaman Sungkai (Peronema canescens) sebagai imunomodulator. International Journal of Applied Pharmaceutics. 14: 135–141. https://doi.org/10.22159/ijap.2022.v14s4.PP33
Rahma, H. J., Wijaya, A., Hikmat, N., Karlina, I., Anggraini, R., Idris, F., & Yandri, F. (2023). Bioactive compounds and antioxidant activity of mangrove fruit extract Bruguiera gymnorrhiza from Pengudang Village, Indonesia. BIO Web of Conferences, 70, 01004. https://doi.org/10.1051/bioconf/20237001004
Rao, S.N., Head, M.S., Kulkarni, A., LaLonde, J.M. (2007). Validation studies of the site-directed docking program LibDock. J Chem Inf Model. 47(6):2159-71. https://doi.org/10.1021/ci6004299
Sarker, S. D., & Nahar, L. (2012). An introduction to natural products isolation. In S. D. Sarker & L. Nahar (Eds.), Natural products isolation (pp. 1–25). Humana Press. https://doi.org/10.1007/978-1-61779-624-1_1
Setyawati, I. R., Ii, K., Rw, R. T., Sawah, S., Jagakarsa, K., AASelatan, K. J., & Khusus, D. (2023). Studi in silico: Senyawa aktif akar senggugu (Clerodendrum serratum) terhadap penghambatan reseptor human chitotriosidase-1 (hCHIT1) sebagai antiasma. Sainstech, 33(2), 81–97. https://doi.org/10.37277/stch.v33i2.1717
Shahidi, F., & Ambigaipalan, P. (2015). Phenolics and polyphenolics in foods, beverages and spices: Antioxidant activity and health effects. Journal of Functional Foods, 18, 820–897. https://doi.org/10.1016/j.jff.2015.06.018
Sun, N. N., Wu, T. Y., & Chau, C. F. (2016). Natural dietary and herbal products in anti-obesity treatment. Molecules, 21(10), 1351. https://doi.org/10.3390/molecules21101351
World Health Organization. (2024). Obesity and overweight. https://www.who.int/news-room/fact-sheets/detail/obesity-and-overweight
Wu, Y., Liu, Y., Jia, Y., Feng, C. H., Zhang, H., Ren, F., & Zhao, G. (2024). Effects of thermal processing on natural antioxidants in fruits and vegetables. Food Research International, 192, 114797. https://doi.org/10.1016/j.foodres.2024.114797
Xu, J., Ge, J., He, X., Sheng, Y., Zheng, S., Zhang, C., & Xu, W. (2020). Caffeic acid reduces body weight by regulating gut microbiota in diet-induced obese mice. Journal of Functional Foods, 74, 104061. https://doi.org/10.1016/j.jff.2020.104061
Zhang, H., Pu, J., Tang, Y., Wang, M., Tian, K., Wang, Y., Luo, X., & Deng, Q. (2022). Changes in phenolic compounds and antioxidant activity during development of ‘Qiangcuili’ and ‘Cuihongli’ fruit. Foods, 11, 3198. https://doi.org/10.3390/foods11203198
Authors

This work is licensed under a Creative Commons Attribution-NonCommercial-ShareAlike 4.0 International License. Copyright @2017. This is an open-access article distributed under the terms of the Creative Commons Attribution-NonCommercial-ShareAlike 4.0 International License (http://creativecommons.org/licenses/by-nc-sa/4.0/) which permits unrestricted non-commercial used, distribution and reproduction in any medium